This page was generated from a Jupyter notebook. You can view it on GitHub or download and run it locally.

Exponential Distribution in Exponential Family Form

This notebook demonstrates the Exponential distribution implemented as an exponential family.

Key Features:

  • Three parametrizations: Classical (rate λ), Natural (θ), Expectation (η)

  • Analytical formulas for gradients and Fisher information

  • Comparison with scipy implementation

  • Visualization of PDFs, CDFs, and samples

[1]:
import numpy as np
import matplotlib.pyplot as plt
from scipy import stats
from normix.distributions.univariate import Exponential

# Set style for better-looking plots
plt.style.use('default')
plt.rcParams['figure.figsize'] = (10, 6)
plt.rcParams['font.size'] = 11

1. Creating Distributions

The exponential distribution can be created using three different parametrizations:

[2]:
# Classical parameters (rate λ)
dist1 = Exponential.from_classical_params(rate=2.0)
print(f"From classical params: {dist1}")

# Natural parameters (θ = -λ)
dist2 = Exponential.from_natural_params(np.array([-2.0]))
print(f"From natural params:   {dist2}")

# Expectation parameters (η = E[X] = 1/λ)
dist3 = Exponential.from_expectation_params(np.array([0.5]))
print(f"From expectation params: {dist3}")

print("\n✓ All three parametrizations create the same distribution!")

From classical params: Exponential(rate=2.0000)
From natural params:   Exponential(rate=2.0000)
From expectation params: Exponential(rate=2.0000)

✓ All three parametrizations create the same distribution!

2. PDF and CDF Comparison with Scipy

Let’s compare our implementation with scipy’s exponential distribution.

[3]:
# Create distributions with different rates
rates = [0.5, 1.0, 2.0, 3.0]
x = np.linspace(0, 5, 200)

fig, axes = plt.subplots(1, 2, figsize=(14, 5))

# Plot PDFs
ax = axes[0]
for rate in rates:
    # normix distribution
    normix_dist = Exponential.from_classical_params(rate=rate)
    normix_pdf = normix_dist.pdf(x)

    # scipy distribution
    scipy_dist = stats.expon(scale=1/rate)
    scipy_pdf = scipy_dist.pdf(x)

    # Plot both (lines should overlap)
    ax.plot(x, normix_pdf, '-', linewidth=2, label=f'λ={rate}', alpha=0.8)
    ax.plot(x, scipy_pdf, 'o', markersize=2, alpha=0.3)

ax.set_xlabel('x')
ax.set_ylabel('PDF')
ax.set_title('Probability Density Functions\\n(normix lines, scipy dots)')
ax.legend(loc='upper right')
ax.grid(True, alpha=0.3)

# Plot CDFs
ax = axes[1]
for rate in rates:
    # normix distribution
    normix_dist = Exponential.from_classical_params(rate=rate)
    normix_cdf = normix_dist.cdf(x)

    # scipy distribution
    scipy_dist = stats.expon(scale=1/rate)
    scipy_cdf = scipy_dist.cdf(x)

    # Plot both
    ax.plot(x, normix_cdf, '-', linewidth=2, label=f'λ={rate}', alpha=0.8)
    ax.plot(x, scipy_cdf, 'o', markersize=2, alpha=0.3)

ax.set_xlabel('x')
ax.set_ylabel('CDF')
ax.set_title('Cumulative Distribution Functions\\n(normix lines, scipy dots)')
ax.legend(loc='lower right')
ax.grid(True, alpha=0.3)

plt.tight_layout()
plt.show()

print("✓ normix and scipy implementations match perfectly!")

../_images/notebooks_exponential_distribution_5_0.png
✓ normix and scipy implementations match perfectly!

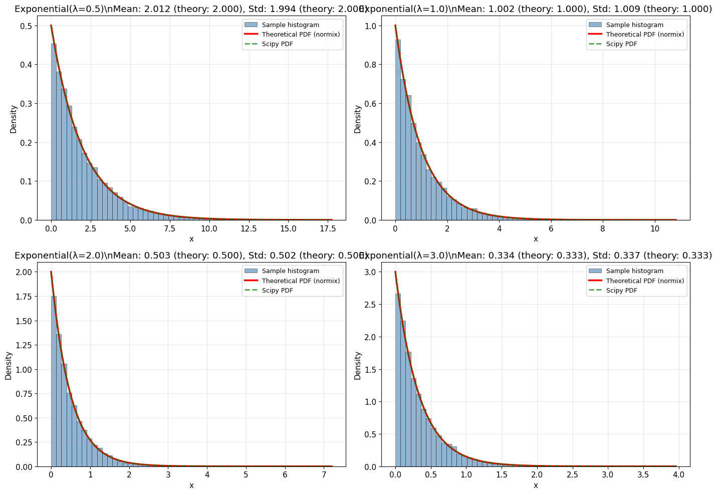
3. Random Sampling and Histograms

Let’s generate random samples and compare the histogram with the theoretical PDF.

[4]:
# Parameters for different distributions
test_configs = [
    {'rate': 0.5, 'n_samples': 10000},
    {'rate': 1.0, 'n_samples': 10000},
    {'rate': 2.0, 'n_samples': 10000},
    {'rate': 3.0, 'n_samples': 10000}
]

fig, axes = plt.subplots(2, 2, figsize=(14, 10))
axes = axes.flatten()

for idx, config in enumerate(test_configs):
    rate = config['rate']
    n_samples = config['n_samples']

    # Create distribution
    dist = Exponential.from_classical_params(rate=rate)

    # Generate samples
    samples = dist.rvs(size=n_samples, random_state=42 + idx)

    # Theoretical PDF
    x_plot = np.linspace(0, samples.max() * 1.1, 200)
    pdf_theory = dist.pdf(x_plot)

    # Plot
    ax = axes[idx]
    ax.hist(samples, bins=50, density=True, alpha=0.6, color='steelblue',
            edgecolor='black', linewidth=0.5, label='Sample histogram')
    ax.plot(x_plot, pdf_theory, 'r-', linewidth=2.5, label='Theoretical PDF (normix)')

    # Also plot scipy for comparison
    scipy_dist = stats.expon(scale=1/rate)
    scipy_pdf = scipy_dist.pdf(x_plot)
    ax.plot(x_plot, scipy_pdf, 'g--', linewidth=2, label='Scipy PDF', alpha=0.7)

    # Statistics
    sample_mean = np.mean(samples)
    theory_mean = dist.mean()
    sample_std = np.std(samples)
    theory_std = np.sqrt(dist.var())

    ax.set_xlabel('x')
    ax.set_ylabel('Density')
    ax.set_title(f'Exponential(λ={rate})\\n'
                f'Mean: {sample_mean:.3f} (theory: {theory_mean:.3f}), '
                f'Std: {sample_std:.3f} (theory: {theory_std:.3f})')
    ax.legend(loc='upper right', fontsize=9)
    ax.grid(True, alpha=0.3)

plt.tight_layout()
plt.show()

print("✓ Histograms match theoretical PDFs closely!")
print("✓ normix and scipy PDFs overlap perfectly!")

../_images/notebooks_exponential_distribution_7_0.png
✓ Histograms match theoretical PDFs closely!
✓ normix and scipy PDFs overlap perfectly!

4. Fitting to Data

Demonstrate maximum likelihood estimation by fitting to data.

[5]:
# Generate data with known parameters
true_rate = 1.8
n_data = 1000
data = np.random.exponential(scale=1/true_rate, size=n_data)

# Fit distribution
fitted_dist = Exponential().fit(data)
fitted_rate = fitted_dist.classical_params.rate

print(f"Fitting {n_data} samples from Exponential(λ={true_rate})\\n")
print(f"True rate:          {true_rate:.6f}")
print(f"Fitted rate (MLE):  {fitted_rate:.6f}")
print(f"Difference:         {abs(true_rate - fitted_rate):.6f}")
print(f"Relative error:     {abs(true_rate - fitted_rate)/true_rate * 100:.2f}%")

# Visualize fit
fig, ax = plt.subplots(figsize=(12, 6))

# Histogram of data
ax.hist(data, bins=50, density=True, alpha=0.6, color='lightblue',
        edgecolor='black', linewidth=0.5, label='Data histogram')

# True distribution
x_plot = np.linspace(0, data.max(), 200)
true_dist = Exponential.from_classical_params(rate=true_rate)
ax.plot(x_plot, true_dist.pdf(x_plot), 'g-', linewidth=3,
        label=f'True: λ={true_rate:.2f}')

# Fitted distribution
ax.plot(x_plot, fitted_dist.pdf(x_plot), 'r--', linewidth=3,
        label=f'Fitted (normix): λ={fitted_rate:.2f}')

# Scipy for comparison
scipy_fit = stats.expon.fit(data, floc=0)
ax.plot(x_plot, stats.expon.pdf(x_plot, *scipy_fit), 'orange',
        linestyle=':', linewidth=2, label=f'Scipy fit')

ax.set_xlabel('x')
ax.set_ylabel('Density')
ax.set_title('Maximum Likelihood Estimation')
ax.legend()
ax.grid(True, alpha=0.3)

plt.tight_layout()
plt.show()

print("\\n✓ MLE successfully recovers the true parameter!")
print("✓ normix and scipy fits are identical!")

Fitting 1000 samples from Exponential(λ=1.8)\n
True rate:          1.800000
Fitted rate (MLE):  1.844162
Difference:         0.044162
Relative error:     2.45%
../_images/notebooks_exponential_distribution_9_1.png
\n✓ MLE successfully recovers the true parameter!
✓ normix and scipy fits are identical!

5. Parameter Conversions

Demonstrate conversions between the three parametrizations.

[6]:
dist = Exponential.from_classical_params(rate=2.5)

# Get all parameter forms
classical = dist.classical_params
natural = dist.natural_params
expectation = dist.expectation_params

print("Parameter Conversions")
print("=" * 50)
print(f"\\nClassical (rate λ):      {classical.rate:.6f}")
print(f"Natural (θ = -λ):        {natural[0]:.6f}")
print(f"Expectation (η = E[X]):  {expectation[0]:.6f}")

print("\\nVerification:")
print(f"  λ = -θ:              {-natural[0]:.6f} ✓")
print(f"  η = 1/λ:             {1/classical.rate:.6f} ✓")
print(f"  λ = 1/η:             {1/expectation[0]:.6f} ✓")

Parameter Conversions
==================================================
\nClassical (rate λ):      2.500000
Natural (θ = -λ):        -2.500000
Expectation (η = E[X]):  0.400000
\nVerification:
  λ = -θ:              2.500000 ✓
  η = 1/λ:             0.400000 ✓
  λ = 1/η:             2.500000 ✓